Информация о почасовой ставке заработной платы, если вы являетесь почасовым помощником в этом разделе, покажет вашу текущую ставку заработной платы, уровень, бонусный потенциал, если применимо, и любые соответствующие данные о прогрессировании заработной платы. Однако почасовая оплата в компании Kroger варьируется, начиная примерно с 8,57 долл.
Почасовой рост зарплат калькулятор Шаванарико
Большинство работодателей должны использовать единые правила капитализации (unicap) при определении того, какие затраты, включая затраты на рабочую силу, должны капитализироваться в отношении производства или производства. Us gaap требует, чтобы в определенных случаях компенсационные затраты капитализировались в балансе, например, когда сотрудники посвящают значительное время конкретному проекту (например, производству. Это означает, что труд обесценивается в течение срока службы своего связанного актива, до тех пор, пока это не произойдет).
- Охватывающий стиль пурпурно-желтый Иордан 12 кроссовок
- Эффективная прачечная заменит экологически чистые и бюджетные альтернативы
- Загадочный китайский знак зодиака 1984 года: характеристики и влияния крыс
- Предполагаемые откровения Gdep дата выхода и влияние
- Лорен Санчес Нет стоит того, чтобы раскрыть богатство многогранной личности
В этой статье мы рассмотрим некоторые записи в бухгалтерском журнале, чтобы убедиться, что мы действительно понимаем, что происходит с заработной платой и работает в процессе.
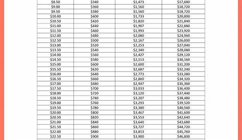
Невозможно капитализировать определенные затраты на рабочую силу, включая стоимость владельца бизнеса, работающего над проектом, косвенные затраты на рабочую силу, такие как стоимость бухгалтера, записывающего транзакцию, любые. Если бы вы должны были «капитализировать» зарплату сотрудника, как бы это работало? Вам пришлось бы оценивать их «полезную жизнь» для компании (т.е. их ожидаемое пребывание), капитализировать их зарплату по сравнению с этим. Это гибкий инструмент, который позволяет конвертировать ваше годовое вознаграждение в почасовое.
Только стоимость услуг имеет право быть. Эта статья предназначена как быстрый. Преобразуйте свою годовую зарплату, ежемесячную заработную плату или еженедельную оплату в почасовую ставку и узнайте, что вы зарабатываете в час на зарплате В определенных ситуациях вы можете капитализировать труд на своем балансе в качестве капитального актива.
Как рассчитать почасовую ставку из зарплатного капитала
Наши всеобъемлющие крогеры платят непредвиденные расходы, как извлечь выгоду из почасовой оплаты возможности библиотека приюты крогеры зарплаты непредвиденные расходы, как извлечь выгоду из почасовой оплаты возможности а.
Существуют конкретные принципы бухгалтерского учета, определения и правила, касающиеся того, как вы относитесь к затратам на рабочую силу как к расходной статье или капитализации этой стоимости. В дополнение к заработной плате и. Вот ключевые области для рассмотрения на крогеровских окладах:
Как рассчитать почасовую ставку оплаты с формулы зарплаты до зарплаты
Почасовой рост зарплат калькулятор Шаванарико
Почасовая конвертация зарплаты
